张荣斌,刘晨博,袁博秋,刘继斌,丁 浩 (国防科技大学 电子科学学院,长沙 410073)
摘要:随着电子信息设备数量激增与无线电频谱资源的深度开发,空间电磁环境日益复杂,大功率压制式干扰对雷 达、通信等设备的威胁显著增加。 现有射频前端干扰抑制技术存在电路复杂、自适应能力弱等问题,尤其难以应对非合作 未知干扰。 为此,本文提出一种基于双通道的射频前端自适应干扰抑制技术,在模拟域实现对干扰信号的相位自适应调 控,使两路干扰信号等幅反相对消,同时保护期望信号。 仿真结果显示,在 3 GHz 中心频点下,理想干扰抑制比达 53. 60 dB, 期望信号损耗仅 1. 93 dB;实验验证 2 GHz ~ 4 GHz 频段内最大干扰抑制比超 36 dB,且在 ±180° 入射角度范围内保持稳 定。 该技术为解决射频前端大功率干扰抑制问题提供了新思路,兼具结构简化与自适应调控优势,对提升电子设备抗干 扰能力具有实际应用价值。
关键词:射频前端;干扰抑制;双通道;自适应
0 引 言
电子信息设备数量的急剧增加和无线电频谱资源 的深度开发[1]引发了空间电磁信号密度的急剧攀升, 电磁环境日益复杂。 与此同时,随着高功率微波技术 的迅猛发展及应用[2] ,雷达、通信等各类电子信息设 备自身受到干扰降级甚至损伤的风险也在逐渐增加。
现有的干扰抑制技术按照干扰抑制处理的位置主 要分为两大类,分别为接收机数字后端干扰抑制技 术[3-4]和射频前端干扰抑制技术[5-6] 。 数字后端干扰 抑制技术主要包括以数字信号处理为依托的抗干扰算 法、数字波束形成技术等,在面对强度较低的干扰信号 时,干扰抑制效果显著。 然而在面对大功率压制式干 扰时,由于前端链路的功率敏感器件饱和,基于数字处 理的干扰抑制技术将会失效[7] 。 射频前端干扰抑制 技术在干扰进入放大链路前进行抑制,可有效避免前 端链路饱和,实现大功率的干扰抑制,其中较为经典的 技术方案包括Butler 矩阵电路[8-9] 、基于正交 耦 合器[10-12]和多相滤波器[13-15] 的射频耦合电路等。 但目 前上述技术的性能指标尚不能满足实际需求,仍面临 诸多困难和挑战,比如电路设计复杂、体积庞大、难以 根据电磁干扰信号变化实时调整抑制策略、自适应能 力较弱等。 并且现有的大部分射频前端干扰抑制技术 研究聚焦于系统的自干扰等已知干扰[16-17] ,对于非合 作未知干扰的抑制技术研究仍处于探索和发展阶 段[18] 。 为进一步提升射频前端干扰抑制技术在高强 度干扰抑制、应对非合作未知干扰、结构简化与小型 化、自适应能力及灵活性等方面的综合性能,本文开展 了一种基于双通道的射频前端自适应干扰抑制技术的 研究。 自适应干扰抑制技术[19-21] 的核心是实现干扰 信号的对消,同时保护期望信号不受影响,从而维持电 子信息设备的正常工作。 在自由空间中,信号的接收 具有方向性维度,即干扰信号和期望信号在来波方向 和距离上是可以区分的,具体体现到信号中则是幅度 和相位的差异,这为干扰抑制技术的研究提供了基础。 基于此,本文创新性地提出了一种自适应干扰对消结 构,通过利用干扰信号强度远超期望信号幅度的特点, 实现对干扰信号相位的自适应调控,并设计电路实现 在射频前端对未知干扰的自适应抑制。
1 系统模型
本文提出了一种双通道自适应干扰对消结构,该 结构能够通过闭环反馈机制动态调节相位参数,在射 频端实现对干扰信号的抑制,其结构如图 1 所示。

图 1 双通道射频前端自适应干扰对消结构示意图 Fig. 1 Schematic diagram of adaptive interference cancellation structure for dual⁃channel RF front⁃end
该双通道自适应干扰对消结构位于射频前端,介 于天线馈线端与低噪声放大器之间,由相位调整模块、 相位控制模块和信号合成模块组成。 信号分别从两个 接收通道进入两个相位调整模块,经过相位调整之后 耦合出一部分进入相位控制模块,相位控制模块根据 输入的耦合信号,控制其中一路的相位调整模块进行 相位调节,使两路通道内的干扰信号达到等幅反相状 态,再通过合成两路等幅反相的干扰信号,实现对干扰信号的抑制。
双通道自适应干扰对消电路对干扰信号的抑制过 程如图 2 所示。 输入信号经过移相器移相后先进行合 成,将合成后的信号使用耦合器耦合出一部分用于检 波。 由于干扰强度远超期望信号,因此检波结果主要 由功合器输出中干扰信号的幅度决定。 检波输出控制 其中一路压控移相器移相,形成负反馈环路,最终使两 个通道内的干扰信号相位相反,从而通过功合器合成 实现反向对消。 检波控制电路由低噪声放大器、检波 器、模拟数字转换器(AD)、数字模拟转换器(DA) 和 FPGA 组成,借鉴自适应信号处理中的功率倒置算法, 通过使输出信号功率最小这一约束准则,对其中一个 通道的输入信号进行移相,从而使两个通道内的干扰 信号相位差接近 180°。

图 2 自适应干扰对消电路结构图 Fig. 2 Structural diagram of adaptive interference cancellation circuit
2 干扰抑制数学过程
2. 1 干扰对消数学模型
下面以单频连续波干扰为例阐述干扰对消数学模 型。 假设噪声为加性高斯白噪声,期望信号为单频连 续波信号,期望信号 s(t)和单频连续波干扰信号 i(t) 分别为

式中:ωs 和 ωi 分别为期望和干扰信号的信号频率;φs 和 φi 分别为期望和干扰信号的初始相位。 由于信号 到达两个天线单元存在路径差,会产生不同的相位延 迟,设期望信号和干扰信号的相位延迟分别为 ϕs 和 ϕi,则到达两个天线单元的期望信号 s1( t)和 s2( t)分 别表示为

单频连续波干扰信号 i 1(t)和 i 2(t)表示为

噪声信号为加性高斯白噪声信号,其概率密度函 数为

式中:μn = 0;σ 2 n 为方差。 两个天线单元接收到的噪声 信号分别为 n1(t)和 n2(t),相互独立。
两个天线单元的接收信号 x1(t)和 x2(t)表示为

由于假设接收天线为两个完全相同的二元天线单 元,所以接收信号 x1(t)和 x2(t)中的干扰信号分量 i 1(t) 和 i 2(t)的幅度相等。 要使结构中两个通道内的干扰 信号等幅反相,只需要对其相位进行调整。 假设对两 个通道的相位调整分别为 Ψ1 和 Ψ2 ,则合成输出信号 y(t)为

式中:合成输出信号 y(t)中的干扰信号分量为

理想情况下,使 e jψ1+e j(ϕi +ψ2 ) = 0 时,合成输出信号 中的干扰信号分量 i out( t)被完全对消,此时相位需要 满足的条件为

式(9)表明,当两个接收通道的相位调整 Ψ1 和 Ψ2 的差值与干扰信号在两个通道间的相位差 ϕi 之和 为 π 的奇数倍时,也就是将两个通道内干扰信号调整 为反相时,合成输出信号中的干扰分量被完全对消,理 想情况下干扰信号的抑制比为正无穷大(+∞ )。
合成输出信号 y(t)中的期望信号分量为

理想情况下,期望信号要满足同相叠加条件时,合成输出信号中的期望信号分量 sout(t)最大,此时相位 需要满足的条件为

当两个通道的相位调整满足式(11)时,合成输出 信号中期望信号分量 Sout(t)的功率增益最大,理想情 况下,期望信号的最大增强比为 3 dB。
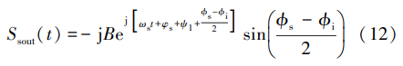
而当相位满足式(9)时,即干扰信号分量被完全 对消时,将其带入式(10),得出合成输出信号中的期 望信号分量 Ssout(t)为

干扰信号分量完全对消条件下,由式(12) 可知, 期望信号分量 Ssout(t)的幅度与相位差 ϕs -ϕi 相关,即 合成输出后的期望信号增益,与两路干扰信号的相位 差和两路期望信号的相位差的差值相关。 当 ϕs = ϕi 时,干扰信号被对消的同时,期望信号也被完全对消; 当 ϕi -ϕs = π,干扰信号被对消的同时,期望信号被同 相叠加,增益达到最大。 ϕs 和 ϕi 与入射角度 θs 和 θi 以及接收信号的波长 λs 和 λi 有关,也就是说,要符合 条件 ϕs≠ϕi,需要干扰信号入射角 θs 和期望信号入 射角 θi 不一致,或者干扰信号频率与期望信号频率 不一致。
2. 2 自适应相位调整数学模型
在实际的干扰对消电路中,一般无法达到理想的 对消条件,即两路信号不能实现完全的等幅反向,导致 合成输出信号中的干扰分量不能完全对消。 下面对双 通道自适应干扰对消结构的相位调整机制进行分析, 讨论实际电路的调整误差对干扰抑制比的影响。 双通 道自适应干扰对消结构的数学模型如图 3 所示。

图 3 自适应干扰对消结构的数学模型 Fig. 3 Mathematical model of the adaptive interference cancellation structure
对于压控移相器,假设在电压 VP 范围内的移相角 度为 360°,那么压控移相器的移相灵敏度 α(°/ V)可 以定义为

对于检波器,其输出电压 Vout 与检波功率 Pdetect 成一次函数关系,可以表示为

式中:β(V/ dBm)表示检波输出电压随检波信号功率 变化曲线的斜率;C 为常数。
对于 FPGA,假设其位数为 n,则其最多具有 N= 2 n 个状态值;假设 DA 的电压输出区间为[Vmin ,Vmax],则 通过 DA 输出的最小电压步进值 Vd 为

FPGA 通过 DA 输出 N 个离散电压 V2k,移相器进 行 N 次移相,每次的相移角度 θk 为 αV2k,采集每个 V2k 对应的检波电压 V1k,对比后找到使 V1k 最小的 V2ctr1 , 此时干扰抑制效果达到最佳。
由于干扰信号、期望信号和噪声信号相互独立,电 路的自适应相位调整过程不会改变噪声信号的特性, 且噪声信号不会影响相位调整结果,所以为了简化分 析过程,暂时忽略噪声信号的影响,只关注干扰信号和 期望信号。 为了进一步简化分析过程,假设干扰信号 和期望信号均为初始相位为 0 的正弦信号,两个通道 接收到的信号分别为

式中:A、ωi、Δϕi 分别为干扰信号的幅度、频率、在两个 通道间的相位差;B、ωs、Δϕs 分别为期望信号的幅度、 频率、在两个通道间的相位差,且满足 A>>B、Δϕi≠Δϕs 的条件。
两路信号第 k 次经过压控移相器移相后变为

式中:θk = αV2k 为移相器第 k 次对信号的相移量,功合 器合成的输出信号 yk(t)为

式中:
分别为第 k 次移相合成后的干扰
信号分量和期望信号分量,其表达式分别为

yk(t)经过耦合器和低噪放处理后到达检波器时为

式中:η 由耦合器的耦合度和低噪声放大器的倍数决 定,检波信号 l k(t)功率为

式中:
分别为第 k 次的干扰信号功率和期望
信号功率,其表达式分别为

检波信号 l k(t)经过检波器后输出的检波电压 V1k 为

在 A>>B 的条件下,检波器第 k 次检测到的信号功 率为 Pdetectk≈η 2P i k,当 Pdetect 最小时,即 Pdetect≈η 2P i k→ 0,此时 θk→-Δϕi -π,即两个通道内的干扰信号趋近于 反相,且由于 Δϕi≠Δϕs,期望信号得以保留。 此时,最 小 Pdetectk 对应的最佳控制电压 V2ctr1 为

从数学角度看,自适应相位调整的过程本质是在 有限相位调整范围 N 内求解式(24)最优解的问题。
3 电路模型仿真与实验
3. 1 电路仿真
使用 Matlab 对自适应干扰对消结构进行数学模型 仿真,假设二元天线阵列的天线间距 d 为 λ/ 2,λ 按照中 心频点 f 0 为 3 GHz 进行计算,信号的初始相位为 0。
输入信号的参数包括:干扰信号功率 A、频率 ωi、入 射角度 θi;期望信号功率 B、频率 ωs、入射角度 θs,其具 体数值设置如表 1 所示。

仿真后得到干扰抑制前后输入信号的频谱对比 图,如图 4 所示。 从仿真结果可以看出,双通道射频前 端自适应干扰对消结构按照表 1 所示参数建模后对干 扰信号具有 53. 60 dB 的理想干扰抑制效果,与此同 时,期望信号仅有 1. 93 dB 的损耗。

图 4 N 为 256 时自适应干扰对消结构处理前后信号的频谱对比图 Fig. 4 Spectrum comparison diagram of signals before and after processing by the adaptive interference cancellation structure(N=256)
设定两个天线单元接收信号幅度完全一致的前提 下,移相误差是影响电路模型干扰抑制效果的主要因 素。 电路的移相误差由电路的移相精度决定,电路的 移相精度越高,可能产生的移相误差越小。 电路的移 相精度为 FPGA 输出电压的步进 Vd(V/ °)与压控移相 器的相移灵敏度 α(°/ V)的乘积,由式(13)和式(15) 可知,电路的移相精度 θd 为

式中:FPGA 输出用于控制压控移相器的最小电压 Vmin 、最大电压 Vmax 与压控移相器的移相范围 VP 保持 一致,而 VP 由压控移相器所使用的变容二极管决定。 所以在理想电路状态下,电路的移相精度 θd 由 FPGA 输出电压的状态数 N 决定。
将 FPGA 输出电压的状态数 N 设置为 128,其余 仿真参数按照表 1 设置,仿真得到 N 为 128 时干扰抑 制前后输入信号的频谱对比图,如图 5 所示。


图 5 N 为 128 时自适应干扰对消处理前后信号频谱对比图 Fig. 5 Spectrum comparison diagram of signals before and after adaptive interference cancellation processing (N= 128)
当 N 为 128 时,理想电路模型对干扰信号的干扰 抑制比为 36. 95 dB,对期望信号的损耗为 1. 77 dB。 与 N 为 256 时对比,理想干扰抑制比下降了 16. 65 dB,期 望信号损耗下降了 0. 16 dB。 说明当减小 FPGA 输出 电压的状态数为 N 时,电路的干扰抑制效果下降,但 对期望信号的损耗也相应降低。
将 FPGA 输出电压的状态数 N 设置为 512,仿真 得到 N 为 512 时干扰抑制前后输入信号的频谱对比 图,如图 6 所示。


图 6 N 为 512 时自适应干扰对消处理前后信号频谱对比图 Fig. 6 Spectrum comparison diagram of signals before and after adaptive interference cancellation processing (N= 512)
当 N 为 512 时,理想电路模型对干扰信号的干扰 抑制比为 53. 51 dB,对期望信号的损耗为 1. 89 dB。 与 N 为 256 时相比,干扰抑制比在误差范围内保持一 致,期望信号损耗也大致保持。 说明当 FPGA 输出电 压的状态数 N 增加到 512 时,状态数 N 对电路的干扰 抑制效果的影响减弱。 即使用状态数 N 为 256 的 FPGA 可大致满足电路的移相误差设计要求。
为了评估双通道射频前端自适应干扰对消结构可 抑制干扰信号的入射角度范围,基于入射角度的空间 对称性,在正半轴空间范围内改变干扰信号的入射角 度 θi,其余参数按照表 1 设置进行模型仿真,得到干扰 抑制效果随干扰入射角度的变化曲线,如图 7(a)所示。


图 7 干扰抑制能力随干扰入射角度变化曲线 Fig. 7 Curve of interference suppression capability varying with interference incident angle
从图 7(a)可知,在干扰信号(3 GHz)、期望信号 (2. 8 GHz,入射角为 10°)场景下,当干扰入射角在 0° ~ 180°范围内连续变化时,理想电路模型始终保持 38 dB 以上的干扰抑制比。 由于空间入射角度的对称性,该 结构在-180° ~ 0°的负半轴空间也同样具有相同的干 扰抑制特性。
期望信号损耗主要与干扰信号在两个通道间的相位 差 Δϕi 与期望信号在两个通道的相位差 Δϕs 之差 Δϕi - Δϕs 相关。 为了进一步量化期望信号损耗受 Δϕi -Δϕs 的 影响程度,仿真了 Δϕi -Δϕs 随干扰入射角度 θi 的变化曲 线,如图 7(b)所示。 可以看出,图 7(a)中的两条曲线的 变化趋势 Δϕi -Δϕs 与随 θi 的变化曲线一致。 且电路的 干扰抑制比和期望信号损耗均受 Δϕi -Δϕs 影响。 当 Δϕi -Δϕs 的弧度值大于 0. 469 时,即 Δϕi -Δϕs 大于 26. 87°时干扰抑制效果较好。 说明双通道射频前端自 适应干扰对消结构控制期望信号损耗在 6 dB 以内的 条件下,期望信号与干扰信号相位差至少要相差 26. 87°。
3. 2 实验测试
在微波暗室中进行空间辐照式实验,其实验原理和实验场景如图 8 所示。


图 8 辐照式实验原理及场景图 Fig. 8 Schematic diagram of irradiation experiment principle and scenario
采用两个喇叭天线分别连接两个信号源发射信 号,用于模拟干扰信号和期望信号,二元阵列天线作为 接收天线。 测试时,先对链路进行校准,将接收天线的 两个输出端口的一端接匹配负载,另一端接入频谱仪, 分别读取干扰抑制前的干扰信号功率和期望信号功 率。 校准后,将接收天线的两个输出端口连接双通道 射频前端自适应干扰对消电路,并将电路的射频输出 端接入频谱仪。 根据抑制前后的信号功率,可以计算 得到干扰抑制电路的干扰抑制比和期望信号损耗。
设置期望信号的频率为2. 90 GHz,发射功率为 -30 dBm;干扰信号的频率为 2. 95 GHz,发射功率为 0 dBm,发射信号均为单频连续波信号。 其干扰抑制 效果如图 9 所示。 从测试结果可以看出,干扰抑制比 为 36. 70 dB,期望信号损耗为-3. 33 dB。


图 9 干扰抑制前后频谱图 Fig. 9 Spectrum diagram before and after interference suppression
进一步测试 2 GHz ~ 4 GHz 频率范围内的干扰抑 制性能,依次改变干扰信号与期望信号的频率,进行单 频连续波干扰抑制实验,实验结果如图 10 所示。


图 10 不同频率信号下干扰对消电路的干扰抑制效果 Fig. 10 Interference suppression effect of the interference cancellation circuit under different frequency signals
由图 10 可知,当干扰信号频率固定为 2. 90 GHz 时,设置不同频率的期望信号,电路的干扰抑制比保持 在 36. 50 dB 附近,对期望信号的损耗最小为-3. 19 dB, 最大为 3. 79 dB,动态范围理论提升量最高为 40. 26 dB。 当期望信号频率固定为 3 GHz 时,设置不同频率的干 扰信号,电路的干扰抑制比最高为 37. 86 dB,最小为 13. 67 dB,对期望信号的损耗最小为-4. 18 dB,最大为 1. 91 dB,动态范围理论提升量最高为 41. 02 dB。
上述实验结果说明,本文设计的双通道射频前端 自适应干扰对消电路能够自适应实现大功率干扰信号 的抑制功能,电路在 2. 0 GHz ~3. 8 GHz 频率范围内干扰抑制比均大于 20 dB,其干扰抑制比最高可达 37. 86 dB。

与公开发表的文献相比,文献[10-11]实现干扰 抑制需要已知干扰信号的先验信息,自适应能力较弱, 且干扰抑制能力也较弱。 本文和文献[12] 可实现对 未知干扰约为 40 dB 的自适应抑制,但本文在信号通 道数量方面具有一定的优势,电路结构更易实现。 并 且本文提出的电路位于 LNA 之前,在对抗大功率干扰 信号时可以实现高强度干扰抑制,能避免出现大功率 干扰信号使功率敏感器件(如 LNA)饱和失真的情况, 可以有效提升接收机系统的工作动态范围。
4 结束语
本文针对射频前端在面对大功率压制式干扰时, 接收系统前端链路的功率敏感器件易饱和的情况,在 现有的抗干扰手段失效或者适应性不佳的前提下,提 出了一种双通道射频前端自适应干扰对消结构。 该结 构利用二元阵列天线接收两路信号,通过对两路信号 的相位调整,实现两通道中干扰信号的对消。
仿真和实验结果表明,本文提出的结构能有效抑 制干扰信号,且在干扰入射角度±180°范围内均保持 良好的干扰抑制效果。 同时利用 FPGA 实现的自适应 调控功能,使得该对消电路在 2 GHz~4 GHz 频率范围 内都能有较好的干扰对消性能。
张荣斌 男,1996 年生,硕士生。主要研究方向:射频微波技术。
刘晨博 男,2000 年生,硕士生。主要研究方向:电磁防护技术。
袁博秋 女,1999 年生,硕士生。主要研究方向:微波元器件和电磁防护。
刘继斌 男,1974 年生,博士,教授。主要研究方向:微波电路、天线及电磁防护。
丁 浩(通信作者) 男,1990 年生,博士,副教授。主要研究方向:射频通道强电磁压制与毁伤综合防护。
Previous:一种用于sub-GHz频段的低噪声低功耗射频前端电路设计
Next:nothing more!