杨保华1,2* ,邹华杰1 ,顾卫杰1,2 ,程志华3 ( 1.常州机电职业技术学院信息工程学院,江苏 常州 213164; 2.江苏省物联网与制造业信息化工程技术研究中心,江苏 常州 213164; 3.天津理工大学电气电子工程学院,天津 300384)
摘 要: 针对被动成像系统中二维合成孔径干涉辐射计( SAIR) 的多通道一致性问题,通过以下 3 步骤进行设计与测试。首 先,从原理上给出前端接收机的设计指标; 其次,通过模块化设计出一个用于 SAIR 的被动成像仪的毫米波前端,包括作为关 键部件的图像抑制滤波器、倍频链路中的谐波抑制滤波器、倍频链路、具有鳍线结构的低噪放单元及其匹配结构、多芯片模块 ( MCM) ; 最后,给出各单元电路及整体前端接收机的测试数据。结果表明: 模块化设计解决了多通道前端的一致性问题、镜像 抑制及谐波抑制问题。其中,测量的接收机增益、噪声系数和两处图像抑制率分别为 42 dB、3.5 dB、60 dB 及 30 dB,接收机群 延时±125 ps; 各通道同相相位误差在 200 MHz 带宽内为-4° ~ 4.2°; 48 个通道间同步误差经消除时钟抖动后为±100 ps,相关系 数测量图接近圆形,表明接收机具有良好的线性特性,条纹洗涤项的测试进一步证明了群延时符合设计要求。以上所有参数 均说明,该设计方法实现了整个接收机的设计要求。
关键词: 一致性; 滤波器; 接收机; 多芯片模块
The Design and Measurement of the K-Band Receiver for Millimeter Frontend*
Abstract: Aiming at the multi-channel consistency problem of two-dimensional synthetic aperture interferometric radiometer( SAIR) in passive imaging system. Firstly,the design index of front-end receiver is given in principle. Secondly,a millimeter wave front-end for SAIR passive imager is designed through modularization,including image suppression filter as the key component,harmonic suppression filter in frequency doubling link,frequency doubling link,low noise amplifier unit with fin line structure and its matching structure,multichip module( MCM) . Finally, the test data of each unit circuit and the whole front-end receiver are given. The results show that the modular design solves the problems of consistency,image suppression and harmonic suppression of multi-channel front-end. The measured receiver gain,noise figure and two image rejection rates are 42 dB,3.5 dB,60 dB and 30 dB,respectively. The receiver group delay is ±125 ps,and the in-phase error of each channel is -4° to 4.2° in 200 MHz bandwidth,and the synchronization error between 48 channels is eliminated after jitter,which is ±100 ps,and the correlation coefficient measurement chart is close to the circle,which indicates that the receiver has good linear characteristics. The test of stripe washing item further proves that the group delay meets the design requirements. All the above parameters show that the whole receiver meets the design requirements
Key words: consistency; filter; receiver; MCM model
综 合 孔 径 辐 射 计 ( synthetic aperture imaging radar,SAIR) 是一种传感器,它能够接收物体在相应 波频段自发的电磁辐射[1-2]。与实孔径辐射计相 比,SAIR 采用干涉测量技术将小孔径阵列综合为大 口径天线并形成多波束进行成像,能够大幅提高辐 射计的成像速度,满足对人体隐匿物快速检测领域 的应用要求[3]。SAIR 的产生,为解决微波辐射成像 系统的空间分辨率瓶颈提供了有效的技术手段,但 这是以提高系统的复杂度为代价换取的。SAIR 的 性能不仅取决于每个接收通道的性能参数,还取决 于各接收通道之间的一致性[4-5]。因此,对于通道 数量较多,系统复杂度较高的 SAIR 前端系统必然 有着较高性能的要求。
针对上述问题,研究 K 波段 SAIR 接收机前端 的结构、参数和性能等问题,主要包括以下几个 方面。
首先,研究各模块基本性能参数与 SAIR 性能 指标之间的定量关系; 其次,通过 SAIR 前端毫米波 单元的设计,给出射频前端电路一种多芯片级 ( Multi-Chip Module,MCM) 设计方法,包括波导对极 鳍线低噪声放大器( LNA) 、全等宽圆端平行线耦合 滤波器设计方法,H 面电感膜片波导带通滤波器 ( H-phase band-pass filter,H-P BPF) 的精确设计方 法等; 最后,给出射频前端电路的测试结果,验证了 前端毫米波单元的设计方法。
1 总体设计
SAIR 接收机二次变频超外差结构如图 1 所示, 分别由毫米波前端单元即毫米波接收机单元、本振 ( local oscillator,LO) 倍频链路及中频接收机单元 组成。

图 1 前端链路图设计
1.1 毫米波前端单元整体设计
毫米波前端链路的主要指标包括增益、噪声系 数、镜像抑制、群延时误差等。
1.1.1 增益
对于 SAIR,接收机输出的信号通常直接进行 A/D 转换为数字信号后送交数字处理机进行相关运 算,因此,设计接收机的增益大小时主要考虑两点: 一 是保证接收机的最小天线温度,放大后的功率要大于A/D 转换器的最小可检测功率; 二是保证接收机的输 出信号最大功率小于 A/D 转换器量程所限制的输入 功率[6],即接收机的增益取决于天线接收到的射频信 号输入功率和 ADC 的动态范围,可以表达为:

在一般情况下可以把输入信号功率写为
式中:
为玻尔兹曼常数; Tsys为系
统噪声温度; TR 为接收机噪声温度; B 为接收机的
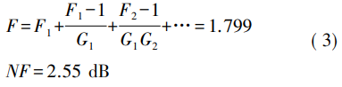
等效带宽。根据相应系统分析可将系统总增益设为
84 dB,对于毫米波前端链路的增益 G1 为 45 dB,中
频接收机 G2 增益为 40 dB,假设 NF 为 3.8 dB,在
400 MHz 带宽时其增益可写为式( 2) ,如图 2 所示。

G1 = 44 dB 时,G2 = 40 dB。考虑到一定的灵 活性将毫米波前端单元增益定为( 45±1) dB。

图 2 毫米波前端单元的链路图
1.1.2 噪声系数
接收机整机的噪声系数主要由毫米波前端单元 的噪声系数确定,一般接收机噪声系数小于 4 dB, 考虑到天线的驻波和波导到微带的转换损耗( 以 1 dB 估 算) ,一 次 变 频 单 元 的 噪 声 系 数 应 小 于 3.5 dB。由图 1 可知,

1.1.3 镜像抑制
毫米波前端单元的通带信号为 25 ~ 27 GHz,镜 像信号为 21~23 GHz。根据镜像抑制大于 30 dB 的 要求,一次变频单元的镜像抑制设计大于 30 dB。
1.1.4 群延时
毫米波前端单元的群延时误差由微带线的长度 误差,放大器、混频器的群延时误差导致。微带线的 长度误差可以控制在几个 mil( 1 mil = 0.025 4 mm) 的 范围内,其群延时误差小于 1 ps; 芯片的群延时误差 较难估计,以每个芯片 10 ps 估算,毫米波前端单元信 号接收通道有 5 个芯片,其群延时误差估计为 50 ps。 因此,将毫米波前端单元的群延时误差设为不超过 100 ps。根据以上分析,毫米波前端单元指标如表 1 所示。前端模块总体结构设计如图 3 所示,射频波导 输入端在横截面的一面,后接腔体镜像滤波器,倍频和中频电路、中频输出、本振输入、供电端口均在横截 面的另一面。

1.2 变频链路设计
具有低相噪和适当功率的接收机本振信号采用 倍频器实现,由于倍频器是非线性器件,不可避免地 会导致谐波的产生。尤其是当多级倍频器级联时, 谐波会导致系统噪声系数的恶化、寄生信号的形成 及干扰有效信号的传输,最终造成系统整体性能的 下降。一个理想的混频器就是最简单的倍频器,通 过将两个输入信号相乘得到其频率和与差的输出信 号[7-8],其表达式如下

通过式( 8) 得出输出信号的噪声谱密度,其相 噪恶化为 20lg n,n 为倍频因子。
在 K 波段干涉式综合孔径辐射计系统中前端 LO 部分采用的是倍频器级联的方式实现毫米波本 振信号。第一级滤波器为 6 GHz 滤波器,功率为 ( 6±1) dBm,通过此滤波器后实现对 2 GHz 谐波信 号的大于 50 dB 的抑制; 接下来是通过第一倍频器 实现对 6 GHz 信号到 12 GHz 的主动 2 倍频器; 然后 是具有上边带高抑制修正的平行线耦合滤波器实现对 6 GHz、12 GHz 和 18 GHz 的抑制; 下面一级是实 现对 12 GHz 到 24 GHz 的主动 2 倍频器; 第三级滤 波器采用半圆端口全等宽平行线耦合滤波器进行滤 波; 最后驱动混频器实现信号下变频。详细驱动参 数如图 4 和表 2 所示。

为了评估整个倍频链路的谐波,通过 ADS 软件 建立数据模型进行仿真如图 5 所示。所有滤波器使 用去嵌入 S 参数文件建立,倍频器参数由芯片说明得 到。谐波仿真结果如图 6 所示,可以发现对 12 GHz、 18 GHz、36 GHz、42 GHz 的谐波抑制大于 120 dB,对30 GHz、54 GHz、60 GHz 处的谐波抑制大于 60 dB,对 6 GHz、48 GHz 处的谐波抑制大于 40 dB,均大于表 1 中镜像抑制 30 dB 的要求。

2 关键电路部件设计
在毫米波 SAIR 系统中,毫米波前端电路都是 由被动元件和主动元件组成。理论上各种无源器件 均可由微带线制作,但目前毫米波波导无源器件还 是占据很大部分。随着微带线在毫米波集成电路中 的广泛应用,前端电路通常采用波导、共面波导、微 带线及鳍线共同组成。在 K 波段 SAIR 前端系统中 采用了鳍线结构及微带-微带( 金线) 结构来实现第 一级 LNA 及其电路结构转换,镜像抑制则采用了第 二级的 H 面电感膜片波导滤波器,如图 2 所示。
2.1 结构转换———鳍线结构
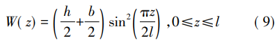
在 SAIR 系统中第一级低噪放对整个接收机噪 声起到决定性作用,因此将其设计成一个独立单元, 其信号输入输出电路采用了鳍线结构来实现结构转 换[9]。鳍线结构是一种主要用于毫米波混合集成 电路的准平面结构,可以保证只有准 TE10 模在鳍 线中的传播。
鳍线渐变的方式有指数线、抛物线和余弦平方
线,其中应用最为广泛的为余弦平方线。K 波段前
端系统中,第一级低噪放作为独立单元与前面天线
及波导连接,就采用了余弦平方线来设计鳍线转换
结构。其设计公式为
式中: z 为传输线纵向坐标; h 为波导高度; l 是过渡 段部分的长度; b 是 50 Ω 微带传输线宽度。其中 l 取值一般为 1.5λ0。
2.1.1 仿真设计
仿真采用余弦平方线 K 波段的背靠背鳍线结 构,如图 7 所示。分别采用标准矩形波导 BJ260 和 BJ320,介质基板采用罗杰斯 5880( 相对介电常数为 2.2,厚度为 0.254 mm) 。仿真过程中可以通过改变 50 Ω 微带传输线宽度 b 及过渡段部分 l 的长度使工 作频率为中心频率。
仿真结果分别如图 7 和图 8 所示,K 波段辐射 计所使用的中心频率为 26 GHz,其仿真结果 S11为 -35 dB,S21为-0.09 dB。S11代表端口 2 匹配时,端 口 1 的反射系数,S21代表端口 2 匹配时,端口 1 到端 口 2 的正向传输系数。

2.1.2 实测结果
对于裸片,通常需要金线实现裸片和微带的连接,金线本身带来的电感会造成芯片输入输出匹配 的恶化,因此需要对使用金线连接的裸片进行匹配。 前端电路第一级低噪放使用的是裸片,必须采用金 线实现输入输出连接,通常使用直径为 10 mil 金线, 其金线电感可设为 LB。为了对引入的电感进行匹 配,降低噪声系数,引入 T 型低通结构匹配电路网 络实现对金线电感的匹配,仿真金线模型示意图如 图 9 所示,T 型匹配仿真模型如图 10 所示。

针对一定微组装工艺仿真模型,建立完整的匹 配电路设计流程,该模型可以进行适当扩展而得到 S 参数文件,满足较宽频段范围的不同芯片的匹配 设计,其仿真结果对比如图 11、图 12 所示。从中可 以发现,ADS 与 HFSS 两种软件模型仿真结果趋势 一致。通过图 10 获得了金线模型的 S 参数并用于 裸片的匹配。嵌入 S 参数文件即可获得整个 LNA 模块的仿真频率响应。
实际装配电路如图 11 所示。其仿真及实测如 图 12 所示,仿真及测试 S11均在-15 dB( 34 GHz) 左 右,S22均在-10 dB 以下,S21趋势基本一致。验证了 金线模型及匹配设计的正确性。

2.2 镜像抑制滤波器
为了提高前端电路的集成度,获得较高的灵敏 度,要求滤波器具有较高的带外镜像抑制。基于一 种带有倒角的 H-P BPF 的精确设计方法实现的 K 波段滤波器,具有较新的加工工艺,设计简单、一致 性高、易加工安装的优点[10]。其顶视图及有倒角的 3D 视图分别如图 13( a) 、13( b) 所示,1 /2 实物图及 装配完毕实物图如图 14( a) 、14( b) 所示。

倒角引入的附加电感合并到并联电感两侧,两 侧各引入等效电长度为 φ/2。因此实际谐振腔的电 长度可写为


使用修正后的直接耦合腔体公式( 10) 实现 H - P BPF 的精确设计。设计 5 阶切比雪夫 H-P BPF,中 心频率为 26 GHz,使用修正后的所得修正参数均有 所增长,表明其谐振频率有低频频移。
加工使用的基板为 TC600,相对介电常数为 6.2, 厚度 10 mil,实测两 BPF 的 3 dB 带宽( bandwidth, BW) 分别为 0. 65 GHz 及 0. 77 GHz,通带均为 0. 5 GHz,带内波纹及插损均小于 0.5 dB,带外镜像抑制实 测大于 60 dB,所有参数均满足设计要求。使用 TRL 校准,可以在安装过程中通过调节 t1 ~ t3 实现调谐如 图 15,其频率响应见图 16,由此可得其仿真与测试及 测试样品之间有较好的一致性。

2.3 倍频链路滤波器设计
前端系统设计的 PCB 平行线耦合滤波器,针对 蚀刻结果造成的蚀刻圆角,为了实现加工后的电路 与蚀刻后的电路版图形状吻合,提出了圆角化的设 计方案,即对平行线耦合滤波器的开路端采用圆角 设计方案替代传统的长度补偿方案; 为了避免相邻 平行线宽度不同导致的不连续性,将各阶长度和宽 度非常接近的平行线设置为相同长度和宽度,提高 滤波器频率响应的一致性,其设计版图如图 17 所 示,频偏经验公式为式( 11) 。通过直通、反射及传 输线的( Through-Reflect-Line,TRL) 校准方式,实测获得了 12 GHz 及 26 GHz 滤波器去嵌入效应后的频 率响应[11],滤波器带内插损 3 dB,带内波动小于 1 dB,带宽 3.8 GHz,测量结果与仿真吻合。


式中: λg 表示波导波长; La 及 f0 分别表示未圆角化 设计时的半波长谐振微带线长度和中心频率; θ 表 示滤波器谐振器腔的电长度。
根据式( 11) ,设计了两种切比雪夫滤波器,中 心频率分别为 12 GHz、26 GHz,相对带宽分别为 11.8%、15.8%,装配图如图 18 所示。平行线耦合滤 波器对金属腔体宽度及高度较敏感,其高度、宽度设 为 8 mm 和 3.5 mm,使腔体的波导截止频率小于 38 GHz。腔体两端使用 K 头连接。边缘耦合滤波器对 金属腔体的两边宽度和高度都很敏感,为了确保腔 体对通过测量相应 K 头和校准线( TRL) 在该腔体 中频率响应,并在最后的滤波器的频率响应中去除, 得到滤波器本身的准确频率响应,此方法被称为去 嵌入效应过程。图 18、图 19 分别为上述两种滤波 器样品及测量曲线,其数量分别为 2、3。从图中可 以发现这两种滤波器测量结果与仿真结果吻合很 好,并且同一种样品之间的一致性也很好。


3 前端系统的实现与测试
综上所述,在 SAIR 设计中采用两种新的滤波 器设计方法实现镜像滤波器及本振带通滤波器的选 频特性; 在金线-裸片连接、鳍线波导-微带转换实 现第一 LNA 设计; 最后各模块连接组成 SAIR 接收 机。如图 21、图 22 所示,前端毫米波电路由 3 个部 分组成,分别是低噪放单元、滤波器及倍频与混频单 元构成。其中低噪放单元及滤波器均已讨论。

整体毫米波电路及倍频单元测量结果如图 23 所示。表明实现了对 26 GHz 信号的 40 dB 增益和 对 22 GHz 处大于 60 dB 的抑制,实现 30 dB 抑制的 指标; 二次变频单元的实测 40 dB 的增益,如图 24 所示,一次变频微波单元及二次中频单元整体实现 了表 1 中系统的整体性能设计。
3.1 接收机电路实现
前端电路背面中频输出频率响应如图 23 所示, 实现 40 dB 的增益。

3.2 噪声系数测试
噪声系数的测量值如表 3 所示,两者吻合得很好。

3.3 相关系数测试
为了验证前端的性能成像应用接收器,建立了相 关系数的初步测试装置。这个设置包括匹配的噪声 源,变量衰减器,可变移相器,两个装配式毫米波前端 接收机,IF-IQ( 同相正交) 接收机以及 DSP 单元。系 统级测试设置如图 28( a) 所示。移相器调节相关系 数,功分器将噪声信号馈送给两路接收机,中频 IQ 解 调 2 GHz 输出信号到 200 MHz IQ 基带信号,最后 DSP 单元采样基带信号,并进行相关系数的计算。
理想情况下,当移相器改变相位时,复相关系数 的实部虚部在笛卡尔坐标系中应该是余弦曲线,对 应于复平面上的一个圆。图 25( a) 测试结果接近余 弦曲线,图 25( b) 接近圆形,说明了测量结果接近理 想值。测试曲线之间的差距及圆是不完美的,是由于 移相器只能调到 280°及移相器在不同相位角下的损 耗引起的。
3.4 接收机一致性测试
在没有接数字处理机前测试整体接收机的群延时,测试结果如图 26 所示,4 路接收机群延时在 ±40 ps 以内。当形成阵列并与数字机相连后通道 间相位差的测试结果如图 27( a) 所示,各通道同相 相位误差在 200 MHz 带宽内为-4° ~ 4.2°,经过与综 合孔径微波成像辐射计( Microwave Imaging Radiometer with Aperture Synthesis,MIRAS) 相同的噪声注 入的校准方法可以达到系统要求; 各通道间同步误 差经消除时钟抖动后如图 27( b) 所示,96 个通道间 同步误差均不超过 ±125 ps,符合表 1 中群延时指 标±100 ps 的要求。


为了进一步测试通道间不一致性,通过延时法对 所有接收机通道进行测量,其测量结果如图 28 所示。 从图 28( b) 图中可以看出,接收机导致的条纹洗涤 项,群延时在±300 ps 以内,其所导致的相关效率下降小于 1%。对可视度、不确定度的影响可以忽略[12]。


4 结论
通过设计一种用于综合孔径成像系统接收机的方法,给出了接收机各项指标及二次变频超外差接 收机结构; 其次,通过模块化设计出一个用于 SAIR 的成像系统的毫米波接收机,其中一次变频毫米波 单元包括具有鳍线结构的低噪放单元及其匹配结 构、具有倒角结构的图像抑制滤波器 H-P BPF、倍频 链路中的全等宽具有圆角结构的谐波抑制滤波器、 倍频链路等多芯片模块; 最后,给出了各单元电路及 整体前端接收机的测试数据。结果表明: 具有一定 结构改进的 H-P BPF 及全等宽圆角滤波器及 MCM 设计,实现了多通道接收机的多项技术要求,包括镜 像抑制、谐波抑制、增益、噪声系数、各通道间一致 性、接收机群延时、各通道同相相位误差、48 个通道 间同步误差、相关系数和条纹洗涤项。
参考文献:
[1] Zheng C,Yao X,Hu A,et al. A Passive Millimeter-Wave Imager Used for Concealed Weapon Detection[J]. Progress in Electromagnetics Research,2013,46: 379-397.
[2] 钱满义,王世英,申艳,等. 综合孔径辐射成像系统的轨道摄动 误差修正[J]. 电讯技术,2020( 10) : 1200-1208.
[3] Mehdi G,Anyong H,Miao J. A Highly Integrated Ka Band FrontEnd Receiver[J]. International Journal of Computer Science, 2013,10( 3) : 271-279.
[4] Hasch J,Topak E,Schnabel R,et al. Millimeter-Wave Technology for Automotive Radar Sensors in the 77 GHz Frequency Band[J]. IEEE Transactions on Microwave Theory and Techniques,2012,60 ( 3) : 845-860.
[5] Lee J,Li Y A,Hung M H,et al. A Fully-Integrated 77-GHz FMCW Radar Transceiver in 65-nm CMOS Technology[J]. Solid-State Circuits,IEEE Journal of Solid-state Circuits,2010,45( 12) : 2746 -2756.
[6] Liu D,Pfeiffer U,Grzyb J,et al. Advanced Millimeterwave Technologies: Antennas,Packaging and Circuits[M]. John Wiley & Sons,2009: 6-9.
[7] 杨保华,邹华杰,程志华. 综合孔径干涉辐射计中模数转换信 噪比约束分析方法[J]. 探测与控制学报,2020,42( 5) : 86 - 93,98.
[8] 李镇,杨燕,吴国中,等. 2 GHz ~ 18 GHz 超宽带小型化下变频 通道设计[J]. 微波学报,2020,36( 4) : 81-84,88.
[9] 张巍,葛婷,杨鹤猛. 8 mm 波段鳍线混频器的研究[J]. 计算机 与数字工程,2019,047( 6) : 1560-1564.
[10] 杨保华,顾卫杰,程志华. 毫米波成像前端中 H 面电感膜片波 导带通滤波器的精确设计[J]. 电子器件,2020,43( 1) : 105 -109.
[11] 顾卫杰,杨保华,邹华杰. 平行线耦合微带滤波器精确设计及 去嵌入测试[J]. 电子器件,2020,43( 4) : 751-755.
[12] Yao X. Analysis and Correction the Inter-Channel Mismatch of Synthetic Aperture Radiometer[J]. TELKOMNIKA: Indonesian Journal of Electrical Engineering,2013,11( 12) : 7190-7196.
Previous:毫米波雷达系统射频前端测试方法
Next:一种 K 波段接收机的研制