射频接收机前端主要分为有源器件和无源器件,本章节主要针对无源器件中的平衡滤波器进行设计,分别设计了一款工作在1.47 GHz-1.53 GHz 的平衡宽共模阻带滤波器和一款1.3 GHz-1.55 GHz 的耦合线平衡滤波器。
L 波段平衡滤波器设计
现如今平衡滤波器的设计通常采用微带线或者多层板结构,例如共面波导,低温共烧陶瓷(Low Temperature Co-fired Ceramic, LTCC)。对于微带平衡滤波器而言不同的耦合结构与拓扑结构对滤波器共模抑制度有着很大的影响。为使得平衡滤波器对于共模信号有较宽阻带的抑制作用,大多数设计采用了阶梯阻抗谐振器[23,40],但在本次设计的L 波段,阶梯阻抗谐振器(Step-Impedance Resonator, SIR)与均匀谐振器(Uniform Impedance Resonator, UIR)尺寸较大,难以加载到杜瓦腔体内。于是本文采取了利用左右手电路结构对滤波器尺寸进行了优化,并通过加载蜿蜒型缺陷地来获得对共模信号的宽阻带响应。为进行对比另外设计了一款平行耦合线的差分带通滤波器,其通过加载枝节在通带内实现了一定程度上的共模抑制。
滤波器设计理论
在现代滤波器的设计中主要分为镜像参量法和插入损耗法。镜像参量法设计较为简单,通常由多个滤波器级联构成,但这种方法设计的滤波器往往需要多次优化。或者基于网络综合理论的插入损耗法则采用双归一化方式,将阻抗和频率归一化为
和
=1 的四种滤波器原型,通过对该频率进行变换,从而设计出低通、高通、带通、带阻滤波器。
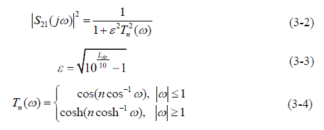
1)巴特沃兹滤波器
巴特沃兹滤波器也叫二项式和最平坦型低通滤波器。对于巴特沃兹滤波响应,在指定结束的前提下,它可以在通带内提供最平坦的通带响应。
表示滤波器截止频率。当
时将以每十倍频衰减 20 dB 进行衰减。其传输函数为[41]:

2)切比雪夫型低通滤波器
切比雪夫滤波响应又称之为等波纹响应,其通带内的波纹幅值为
,而在
时,其响应的截止响应十分陡峭,其损耗率也为每十倍频上升20dB。其表
示为[41]:

3)椭圆函数型低通滤波器
椭圆函数型低通滤波器相较于巴特沃兹滤波响应和切比雪夫滤波响应在阻带内,即
时其衰减均为单调上升的。而椭圆函数滤波响应在
时其阻带和通带一样都有着等波纹响应,且在通带内有着最大衰减max A 和阻带内的最小衰减min A ,有着较好的截止频率,但却难以综合,其表式为[41]:

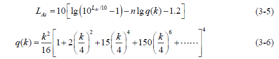
主要技术参数
1)中心频率:通常指的是滤波器在工作时,其中心的频点便被指定为中心频率
。
2)插入损耗:当信号经过滤波器后,其功率产生了损耗,定义为:

3)带宽:通常来说滤波器带宽指的是信号衰减3dB 时的频率差,而相对带宽为则表示为:

4)共模抑制度:通常指的是平衡滤波器相较于对差分信号成本带通响应,对共模信号往往有着较强的带阻响应。

5)带外抑制度:通常是指滤波器对通带范围外的信号的抑制能力,也常常称为阻带。
平衡微波滤波器与电路网络端口分析
在平衡式传输线中,信号主要以奇模、偶模、差模(CM)以及共模(DM)四种形式传播。在差分信号进行传输时,两个输入端端口的信号变现为等幅反向,与奇模信号相似,信号在传输时由于幅度相反,其电磁场以对称形式分布,在传输线中间呈等效电壁。显然这种传输方式有利于抑制外部干扰信号,传输有用信号。而在共模信号传输时,两个端口输入的信号表现为等幅同向,其电路响应与偶模信号相似。在共模传输模式下,信号在传输线内进行叠加,电磁场分布呈现同相性。在处理信号过程中,共模信号通常由外界干扰源所产生,需要对其进行抑制。
尽管奇偶模信号与差共模在信号传输时具有一定的相似性,但二者由于定义不同,其差异主要体现在特性阻抗中。
图3- 1 为一对基本的平衡式
的均匀阻抗耦合线谐振器,该谐振器的特性阻抗为0Z ,半长谐振器的电气长度设置为
。图(a)和(b)分别为该谐振器的奇模和偶模等效电路。在CM 电压激励时1 端口和2 端口的输入信号为等幅反向,二者在DM 激励下,输入信号为等幅同相的。对于CM 激励,该对耦合谐振器的中心面可以视为理想电壁,因而可以将该谐振器等效接地。在DM 激励下,该谐振器的中心平面则可以视为理想磁壁,谐振器则等效为开路。

图3- 1 平衡谐振器 (a)奇模 (b)偶模示意图
奇模和偶模信号的电压和电流为:

分别定义为端口1 和端口2 处的输入电压和电流,因此在奇偶激励模式下端口的输入特征阻抗为:

......................................................................
Previous:低温平衡接收机系统体设计方案