侯智,邵骏,肖扬,李柏漪 (南京信息工程大学,江苏南京,210044)
摘要:随着集成电路技术的迅猛发展,它为通信领域带来了极其重要的变革。其中,图像通信以其清晰、准确、快捷的优势,也极为广泛 地应用于各种领域。不幸的是,由于外界噪音的存在,使得图像的质量往往会出现明显的下滑。为了解决这一问题,我们不仅要努力减少 外界的噪音,还应该采取相应的措施来提升图像的清晰度和准确性。本文分析了椒盐噪声、泊松噪声和高斯噪声下的原图像与通过各种滤 波器去噪后的图像,并以PSNR、SSIM作为指标对去噪结果进行评价。
关键词:图像噪声;滤波器;去噪;滤波器滤波效果评价
0 引言
图像噪声是指存在于图像数据中的不必要或者多余的 且会产生干扰的信息,图像中各种妨碍人们对原图像信息接 受的因素即可称为图像噪声 [1]。噪声的存在严重影响了图像 质量,如何有效处理噪声是数字图像处理技术极为重要的研 究方面 [2]。
噪声的产生方式以及来源多种多样,事实上,图像噪 声的产生是不可避免的,没有绝对的清晰和无噪声的图片, 只有相对质量较高的图像,因此得到相对高质量的图像就 显得尤为重要。本文分析了椒盐噪声、泊松噪声和高斯噪 声下的图像与通过各种滤波器去噪后的图像,并以 PSNR、 SSIM、MSE 作为指标对去噪结果进行评价。
1 噪声分析和加噪
■ 1.1 图像噪声模型
图像降噪是图像处理的一个重要步骤。而图像降噪则是 对含有噪声的图像进行噪声的削弱或者消除,使得经过降噪 的图像与原始图像更为相近,以便在后续的图像分析中获得 更为精确的图像结果。

如图 1 所示是图像噪声模型,即图像噪声的根源。对 于图 1 所示的图像噪声模型,输入的高清晰度的原始图像 A 进行 B 处理,然后将带有噪声的图像 C 输出,此过程中 的 B 就代表着生成噪声的物理过程,在实际应用 B 过程就 主要体现在外界环境、硬件设备以及传输等对图片质量的影 响。通过上述分析,可以得出以下结论:图像去噪的过程实 质上就是对图 1 所示过程的一个反演操作,即已知 C 所带 有的噪声分布,通过逆向估算,从而得到一个高清晰度的原 始图像 A。
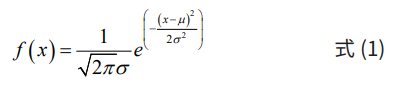
■ 1.2 高斯噪声
按照中心极限原则,当一些事物的发展由许多不同的随 机因子共同决策时,它们的影响力会呈现出一种正态分布的 特征,而这种特征就被称之为高斯噪声。高斯噪声具有明显 的加权特征,它的噪声强度与平均水平相当,并且会因为与 平均水平的差异而呈现出递增趋势。高斯随机变量 x 的概率 密度函数如下:

x :灰度值, µ : x 的平均值或期望值, σ : x 的标 准差, 2 σ : x 的方差 [3]。
■ 1.3 椒盐噪声
椒盐噪声又称脉冲噪声,脉冲噪声是一种离群值型噪 声,也被称为脉冲干扰。是由图像传感器,传输信道,解码 处理等产生的黑白相间的亮暗点噪声[4],就是所谓的“雪花”。 而在图像中,脉冲噪声表现为或亮或暗的孤立像素点,这些 像素点的值通常为最大或最小像素值,与周围像素值差别很 大,因此椒盐噪声是在视觉上感觉最为明显的噪声。
椒盐噪声的概率密度函数表示为:

z 指的是像素值,a、b 指的是极限强度值,在图像上 就是一些或白或黑的点, a p 代表暗点噪声的概率密度, b p 代表亮点噪声的概率密度。如果 0 Pa = ,则图像中没有暗点, 只有亮点噪声,称为盐粒噪声 ( 正脉冲 );如果 0 Pb = ,则 图像中只有暗点,此时称为胡椒噪声 ( 负脉冲 )。
■ 1.4 泊松噪声
泊松噪声也被称为统计噪声或者光子噪声。在图像获取 过程中,光子会被随机地吸收或反射,进而导致噪声的产生, 而光子在传输和转换过程又遵循泊松分布,因此该噪声也被 称为泊松分布噪声。它的包络线和正态分布很相似,并且随 着采集的数据越多,精度越密,其形态上它越发接近正态分布。
泊松噪声即泊松分布的概率密度函数的表达式如下:

其中, λ 代表数学期望。由公式 (3) 可知,泊松噪声的 像素值的方差与像素的强度成正比,因此在较低的亮度下图 像质量更容易受到泊松噪声的影响。
■ 1.5 加噪处理
本文选取一张图片,使用 MATLAB 分别对其时域和频 域分别添加高斯噪声、椒盐噪声以及泊松噪声,加噪效果如 图 2、图 3 所示,观察图 2、图 3 可知,相较于高斯噪声和 泊松噪声,椒盐噪声对原图像时域和频域图像质量的影响在 视觉上感受最明显。


2 滤波器去噪处理
■ 2.1 中值滤波器
中值滤波器,不计算像素的平均值,而是将所有像素值进行排序,把最中间的像素值取出,赋值给核心像素。

在 (x,y) 处的像素值是计算的中值。它能够有效地抑制 脉冲噪声,并且能够有效地抵御图像中锐利的边缘,还可以 根据需要选取合适的点来代替受污染的区域。
■ 2.2 高斯低通滤波器
高斯低通滤波器采用了高斯滤波操作即高斯模糊、高斯 平滑,是用于模糊图像去除噪声的二维滤波操作。它使用的 是表示高斯峰值的模板,一维高斯滤波器用下式给出脉冲 响应:
令 H(u) 表示一维频率域高斯滤波器:

其中, σ 是高斯曲线的标准差。空间域中的相应滤波 器由 H(u) 的傅里叶反变换得到:

高斯滤波可以很好地在降低图片噪声、细节层次的同时 保留更多的图像信息,经过处理的图像会呈现“磨砂玻璃” 的滤镜效果。
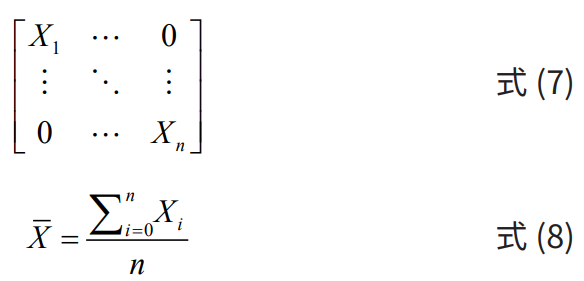
■ 2.3 motion 滤波器
motion 滤波与均值滤波和中值滤波类似,均是采用窗 口设计,计算窗口的中心值,区别就是中心值的方法不同, motion 滤波是仅计算窗口矩阵的主对角线元素的均值,其 他元素不参与计算。

其中
为中心值, Xi 为矩窗口阵对角线元素。
■ 2.4 去噪处理
为了比较不同滤波器对不同噪声去噪能力的强弱,本文 使用不同滤波器对上述不同噪声处理过的时域频域图进行 降噪。
对上述已经加入高斯噪声的图片时域图像和频域图像 分别使用中值滤波器、高斯低通滤波器以及 motion 滤波器 进行去噪处理,结果如图 4、图 5 所示,肉眼观察可见,高 斯低通滤波器对于高斯噪声的去噪效果优于其他两个滤波器。
对上述已经加入椒盐噪声的图片时域图像和频域图像 分别使用中值滤波器、高斯低通滤波器以及 motion 滤波器进行去噪处理,结果如图 6、图 7 所示,肉眼观察可见,中 值滤波器对于椒盐噪声的去噪效果优于其他两个滤波器。



对上述已经加入泊松噪声的图片时域图像和频域图像 分别使用中值滤波器、高斯低通滤波器以及 motion 滤波器 进行去噪处理,结果如图 8、图 9 所示,肉眼观察可见,高 斯低通滤波器对于泊松噪声的去噪效果优于其他两个滤波器。



■ 2.5 结果分析
PSNR(Peak Signal to Noise Ratio)即峰值信噪比, 单位是 dB,PSNR 因其简单易用速度快的特点,被广泛应 用于 H.264/AVC 和 H.265/HEVC 这类视频编码标准当中 [5]。 PSNR 是一种常用的图像质量评估工具,它能够有效地减少 被评图像和参考图像之间的失真,从而提高图像的质量。
SSIM(Structural Similarity Index Metric)即结构相似性,结构相似度分析是基于人类视觉系统 HVS(Human Visual System) 提出的评价方法。SSIM 算法认为场景中 的结构信号都会被人体视觉系统所获取,通过计算图像的结 构,可知场景中物体的结构信息与局部亮度和对比度无关[5]。 在使用 SSIM 进行图像质量评估时,SSIM 值越大,表示被 评图像与参考图像之间失真越小,被评图像质量越好。
无论是 PSNR 还是 SSIM,评价的都是绝对误差,而 SSIM 考虑到了人类视觉系统 HVS。通过利用人类视觉系统, 我们可以建立一个数学模型来描述对比度、亮度和结构之间 的关系, SSIM 计算公式包含了三个主要指标:标准差、均 值和协方差,它们分别用于估计图像中不同部分的相似程 度。通过使用这些指标,我们可以更好地理解图像中不同部 分对人眼感知的影响 [6]。因此,一般认为 SSIM 在图像去噪、 图像相似度评价上是优于 PSNR 的。
针对上述分析,本文采用主观视觉观测和客观指标 PSNR(峰值信噪比)、SSIM(结构相似性)对图像去噪效 果进行全面评价。结果如表 1、表 2、表 3 所示。
3 结论分析
综上所述,可得出如下结论:
对于含有高斯噪声的图片,高斯低通滤波器去噪效果最 好;对于含有椒盐噪声的图片,中值滤波器去噪效果最好; 对于含有泊松噪声的图片,高斯低通滤波器去噪效果最好。 但是对于分别含有高斯噪声、椒盐噪声、泊松噪声的图像来说, 三种滤波器的去噪效果都存在不可接受的失真,对于本实验 而言三种滤波器的去噪效果都达不到可接受的失真标准。

参考文献 *
[1] 张娜娜 , 张媛媛 , 丁维奇 . 经典图像去噪方法研究综述 [J]. 化 工自动化及仪表 ,2021,48(05):409-412+423. *
[2] 袁新星 . 基于中值滤波的高密度椒盐噪声图像去噪算法研究 [D]. 湖北工业大学 ,2014. *
[3] 樊勇 . 基于高斯噪声的图像去噪算法研究 [D]. 西南石油大 学 ,2014. *
[4] 万丰丰 , 周国民 , 周晓 . 一种去除椒盐噪声的自适应模糊中值 滤波算法 [J]. 浙江大学学报 ( 理学版 ),2019,46(04):445-453. *
[5] 陈欣平 , 杨翠云 , 周朝阳 , 吕剑樱 . 视频图像的质量评价算法 研究 . 科技与创新 ,2095-6835(2023)19-0011-02. *
[6] 杨艳春 , 李娇 , 王阳萍 . 图像融合质量评价方法研究综述 [J]. 计算机科学与探索 ,2018, 12(07):1021-1035.
Previous:带通滤波器匹配技术在中波发射机天馈系统中的应用研究
Next:射频前端微系统关键技术与研究进展